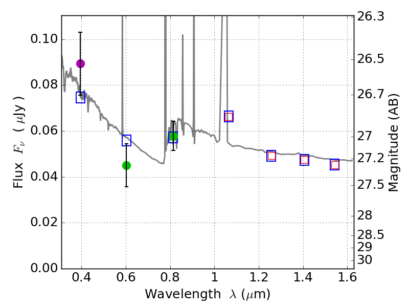
RXS0603+42-N IR detection object #1280

Color images and BPZ results
Catalog: 1280.cat
Black segments are analyzed here.   Roll mouse over color images to view segments.
Best viewed in a wide browser window (1200 pixels or more).   Download SED & P(z) plots to view larger versions.
In P(z) plots: Yellow lines mark the cluster redshift z = 0.228,  

Object #1280   x,y = (2738, 3191)   RA, Dec = (06:03:12.864, 42:16:29.28) = (90.80360, 42.27480)   BPZ = 1.088 [0.607--2.299]   type = 11.00 (SB11_A_0_l)   stellarity = 0.11   chisq2 = 2.06   ODDS = 0.18   z_cluster = 0.228