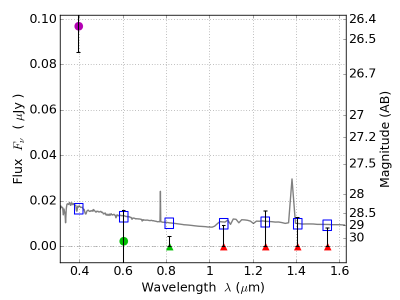
RXS0603+42-N IR detection object #1257

Color images and BPZ results
Catalog: 1257.cat
Black segments are analyzed here.   Roll mouse over color images to view segments.
Best viewed in a wide browser window (1200 pixels or more).   Download SED & P(z) plots to view larger versions.
In P(z) plots: Yellow lines mark the cluster redshift z = 0.228,  

Object #1257   x,y = (3671, 3204)   RA, Dec = (06:03:07.824, 42:16:30.00) = (90.78260, 42.27500)   BPZ = 1.763 [0.529--4.739]   type = 11.00 (SB11_A_0_l)   stellarity = 0.35   chisq2 = 14.12   ODDS = 0.23   z_cluster = 0.228