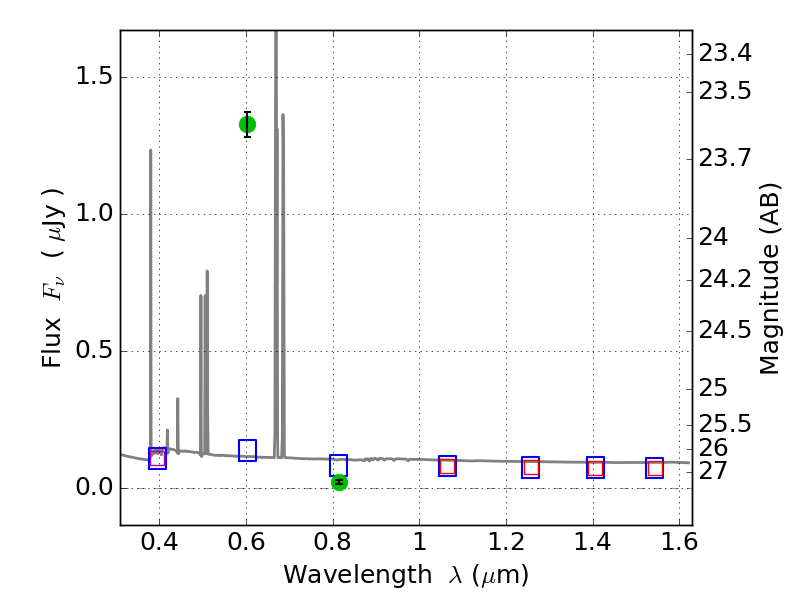
RXS0603+42-N IR detection object #1246

Color images and BPZ results
Catalog: 1246.cat
Black segments are analyzed here.   Roll mouse over color images to view segments.
Best viewed in a wide browser window (1200 pixels or more).   Download SED & P(z) plots to view larger versions.
In P(z) plots: Yellow lines mark the cluster redshift z = 0.228,  

Object #1246   x,y = (1903, 3214)   RA, Dec = (06:03:17.376, 42:16:30.36) = (90.82240, 42.27510)   BPZ = 0.018 [0.010--0.040]   type = 11.00 (SB11_A_0_l)   stellarity = 0.96   chisq2 = 702.80   ODDS = 1.00   z_cluster = 0.228