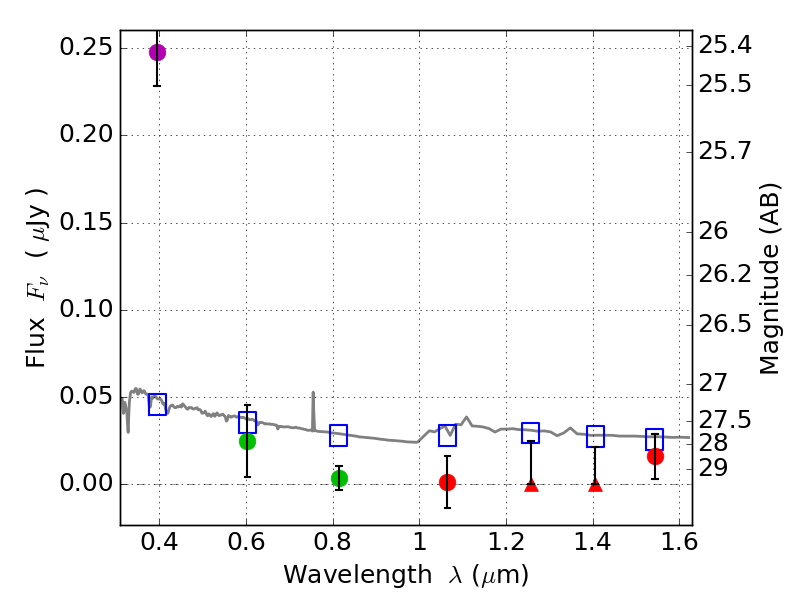
RXS0603+42-N IR detection object #1225

Color images and BPZ results
Catalog: 1225.cat
Black segments are analyzed here.   Roll mouse over color images to view segments.
Best viewed in a wide browser window (1200 pixels or more).   Download SED & P(z) plots to view larger versions.
In P(z) plots: Yellow lines mark the cluster redshift z = 0.228,  

Object #1225   x,y = (3654, 3223)   RA, Dec = (06:03:07.920, 42:16:31.08) = (90.78300, 42.27530)   BPZ = 1.700 [1.377--2.231]   type = 11.00 (SB11_A_0_l)   stellarity = 0.60   chisq2 = 29.99   ODDS = 0.44   z_cluster = 0.228