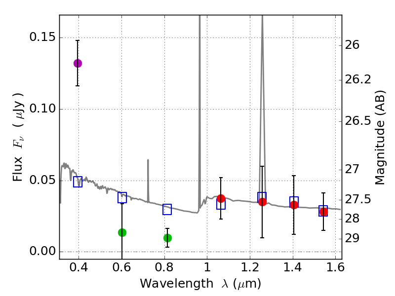
RXS0603+42-N IR detection object #1214

Color images and BPZ results
Catalog: 1214.cat
Black segments are analyzed here.   Roll mouse over color images to view segments.
Best viewed in a wide browser window (1200 pixels or more).   Download SED & P(z) plots to view larger versions.
In P(z) plots: Yellow lines mark the cluster redshift z = 0.228,  

Object #1214   x,y = (3686, 3213)   RA, Dec = (06:03:07.728, 42:16:30.36) = (90.78220, 42.27510)   BPZ = 1.589 [1.214--2.174]   type = 11.00 (SB11_A_0_l)   stellarity = 0.38   chisq2 = 8.83   ODDS = 0.36   z_cluster = 0.228