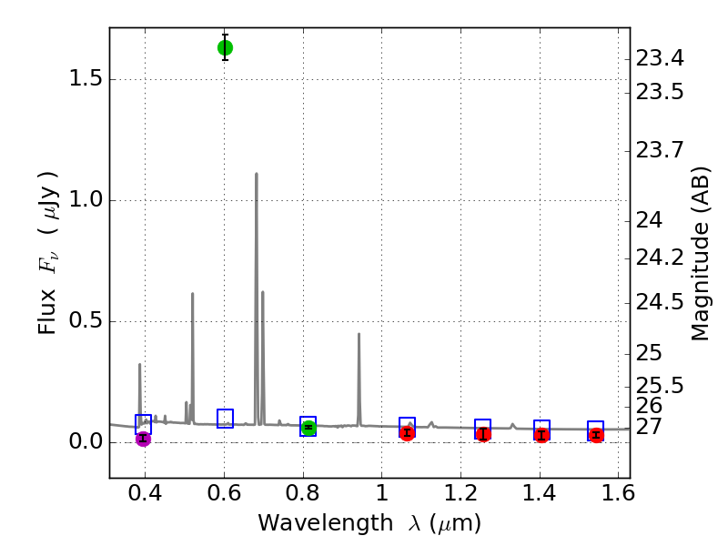
RXS0603+42-N IR detection object #1200

Color images and BPZ results
Catalog: 1200.cat
Black segments are analyzed here.   Roll mouse over color images to view segments.
Best viewed in a wide browser window (1200 pixels or more).   Download SED & P(z) plots to view larger versions.
In P(z) plots: Yellow lines mark the cluster redshift z = 0.228,  

Object #1200   x,y = (3615, 3229)   RA, Dec = (06:03:08.112, 42:16:31.44) = (90.78380, 42.27540)   BPZ = 0.037 [0.019--3.422]   type = 10.70 (SB11_A_0_l - SB3_B10)   stellarity = 0.86   chisq2 = 215.30   ODDS = 0.16   z_cluster = 0.228