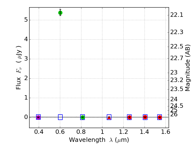
RXS0603+42-N IR detection object #1182

Color images and BPZ results
Catalog: 1182.cat
Black segments are analyzed here.   Roll mouse over color images to view segments.
Best viewed in a wide browser window (1200 pixels or more).   Download SED & P(z) plots to view larger versions.
In P(z) plots: Yellow lines mark the cluster redshift z = 0.228,  

Object #1182   x,y = (3555, 3240)   RA, Dec = (06:03:08.448, 42:16:32.16) = (90.78520, 42.27560)   BPZ = 1.696 [0.255--6.224]   type = 11.00 (SB11_A_0_l)   stellarity = 0.70   chisq2 = 286.30   ODDS = 0.06   z_cluster = 0.228