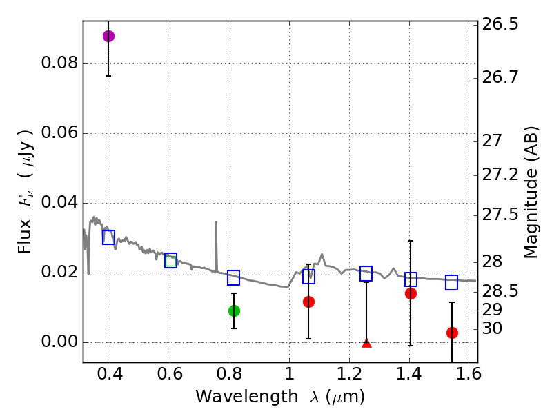
RXS0603+42-N IR detection object #1171

Color images and BPZ results
Catalog: 1171.cat
Black segments are analyzed here.   Roll mouse over color images to view segments.
Best viewed in a wide browser window (1200 pixels or more).   Download SED & P(z) plots to view larger versions.
In P(z) plots: Yellow lines mark the cluster redshift z = 0.228,  

Object #1171   x,y = (3660, 3238)   RA, Dec = (06:03:07.872, 42:16:31.80) = (90.78280, 42.27550)   BPZ = 1.701 [0.920--2.392]   type = 11.00 (SB11_A_0_l)   stellarity = 0.36   chisq2 = 10.50   ODDS = 0.40   z_cluster = 0.228