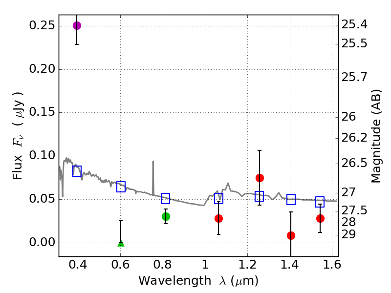
RXS0603+42-N IR detection object #1169

Color images and BPZ results
Catalog: 1169.cat
Black segments are analyzed here.   Roll mouse over color images to view segments.
Best viewed in a wide browser window (1200 pixels or more).   Download SED & P(z) plots to view larger versions.
In P(z) plots: Yellow lines mark the cluster redshift z = 0.228,  

Object #1169   x,y = (3670, 3230)   RA, Dec = (06:03:07.824, 42:16:31.44) = (90.78260, 42.27540)   BPZ = 1.700 [1.395--2.083]   type = 11.00 (SB11_A_0_l)   stellarity = 0.14   chisq2 = 17.65   ODDS = 0.60   z_cluster = 0.228