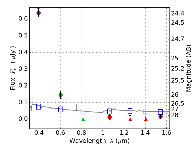
RXS0603+42-N IR detection object #1142

Color images and BPZ results
Catalog: 1142.cat
Black segments are analyzed here.   Roll mouse over color images to view segments.
Best viewed in a wide browser window (1200 pixels or more).   Download SED & P(z) plots to view larger versions.
In P(z) plots: Yellow lines mark the cluster redshift z = 0.228,  

Object #1142   x,y = (3561, 3259)   RA, Dec = (06:03:08.424, 42:16:33.24) = (90.78510, 42.27590)   BPZ = 1.701 [1.574--1.962]   type = 11.00 (SB11_A_0_l)   stellarity = 0.66   chisq2 = 132.80   ODDS = 0.72   z_cluster = 0.228