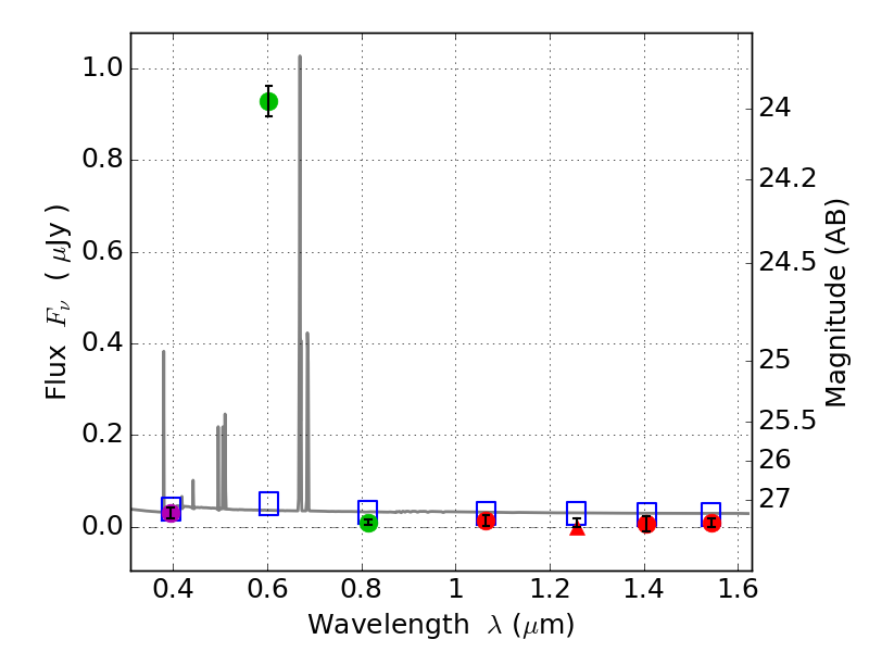
RXS0603+42-N IR detection object #1088

Color images and BPZ results
Catalog: 1088.cat
Black segments are analyzed here.   Roll mouse over color images to view segments.
Best viewed in a wide browser window (1200 pixels or more).   Download SED & P(z) plots to view larger versions.
In P(z) plots: Yellow lines mark the cluster redshift z = 0.228,  

Object #1088   x,y = (3505, 3283)   RA, Dec = (06:03:08.712, 42:16:34.68) = (90.78630, 42.27630)   BPZ = 0.023 [0.010--2.739]   type = 11.00 (SB11_A_0_l)   stellarity = 0.64   chisq2 = 174.90   ODDS = 0.92   z_cluster = 0.228