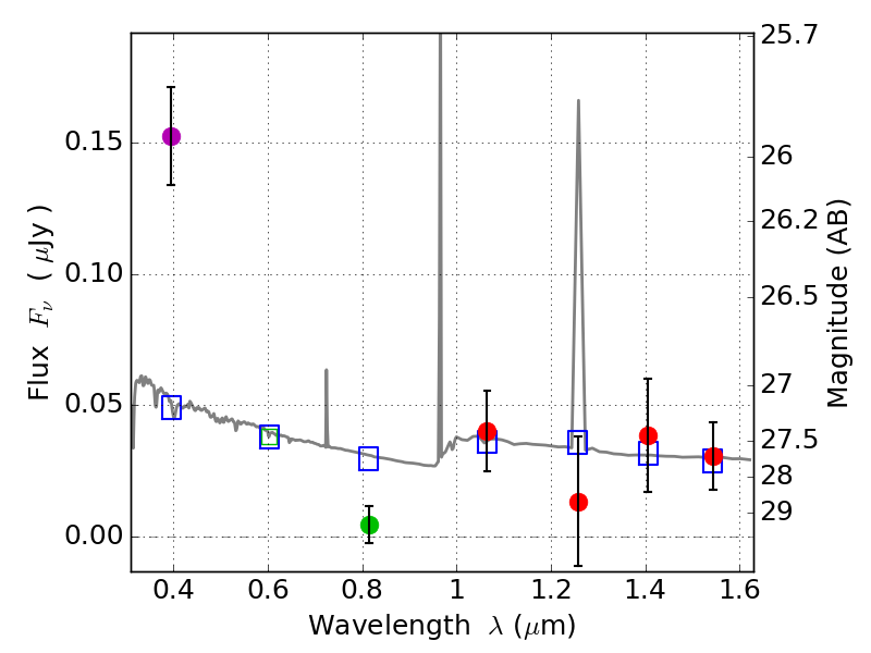
RXS0603+42-N IR detection object #1073

Color images and BPZ results
Catalog: 1073.cat
Black segments are analyzed here.   Roll mouse over color images to view segments.
Best viewed in a wide browser window (1200 pixels or more).   Download SED & P(z) plots to view larger versions.
In P(z) plots: Yellow lines mark the cluster redshift z = 0.228,  

Object #1073   x,y = (3581, 3285)   RA, Dec = (06:03:08.304, 42:16:34.68) = (90.78460, 42.27630)   BPZ = 1.586 [1.203--2.221]   type = 11.00 (SB11_A_0_l)   stellarity = 0.38   chisq2 = 13.83   ODDS = 0.33   z_cluster = 0.228