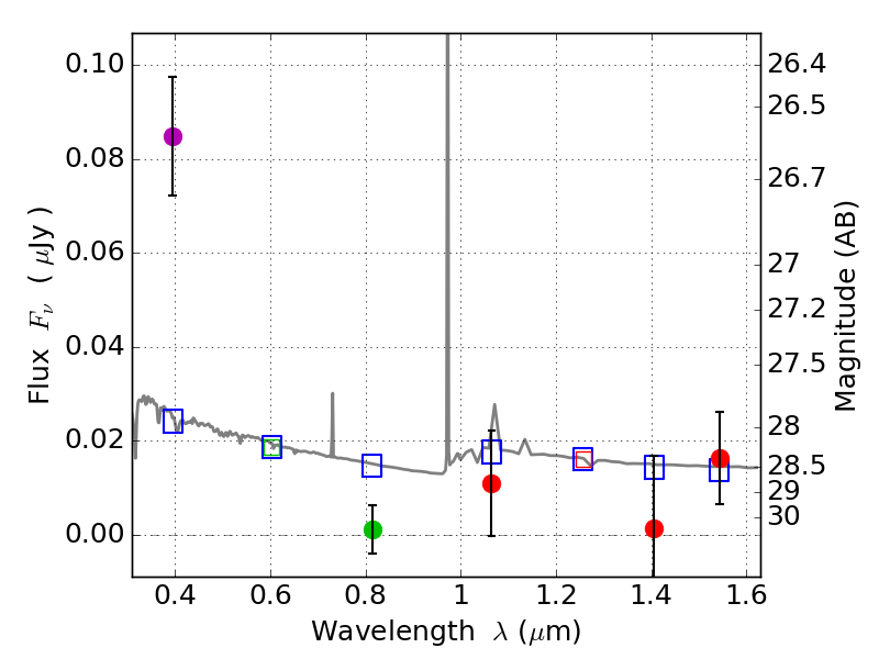
RXS0603+42-N IR detection object #1038

Color images and BPZ results
Catalog: 1038.cat
Black segments are analyzed here.   Roll mouse over color images to view segments.
Best viewed in a wide browser window (1200 pixels or more).   Download SED & P(z) plots to view larger versions.
In P(z) plots: Yellow lines mark the cluster redshift z = 0.228,  

Object #1038   x,y = (3574, 3294)   RA, Dec = (06:03:08.352, 42:16:35.40) = (90.78480, 42.27650)   BPZ = 1.612 [0.821--2.655]   type = 11.00 (SB11_A_0_l)   stellarity = 0.37   chisq2 = 15.04   ODDS = 0.23   z_cluster = 0.228