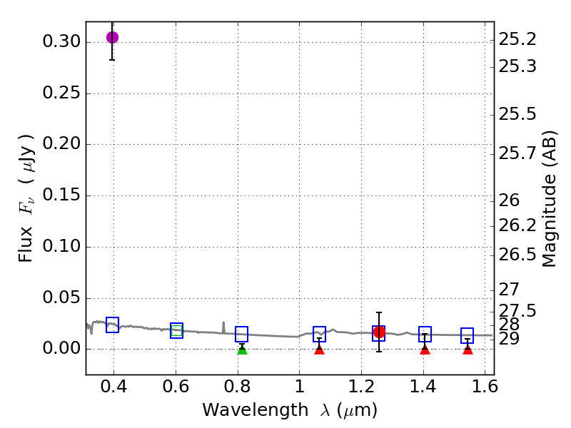
RXS0603+42-N IR detection object #1030

Color images and BPZ results
Catalog: 1030.cat
Black segments are analyzed here.   Roll mouse over color images to view segments.
Best viewed in a wide browser window (1200 pixels or more).   Download SED & P(z) plots to view larger versions.
In P(z) plots: Yellow lines mark the cluster redshift z = 0.228,  

Object #1030   x,y = (3572, 3310)   RA, Dec = (06:03:08.352, 42:16:36.48) = (90.78480, 42.27680)   BPZ = 1.699 [0.600--2.789]   type = 11.00 (SB11_A_0_l)   stellarity = 0.86   chisq2 = 53.88   ODDS = 0.31   z_cluster = 0.228