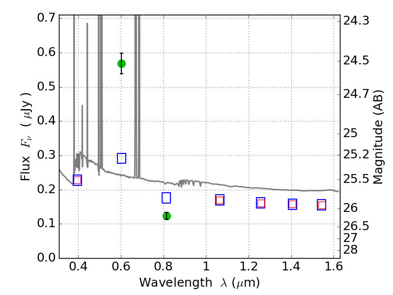
RXS0603+42-N ACS+IR detection object #8563

Color images and BPZ results
Catalog: 8563.cat
Black segments are analyzed here.   Roll mouse over color images to view segments.
Best viewed in a wide browser window (1200 pixels or more).   Download SED & P(z) plots to view larger versions.
In P(z) plots: Yellow lines mark the cluster redshift z = 0.228,  

Object #8563   x,y = (1698, 1049)   RA, Dec = (06:03:18.480, 42:14:20.76) = (90.82700, 42.23910)   BPZ = 0.018 [0.010--0.038]   type = 11.00 (SB11_A_0_l)   stellarity = 0.95   chisq2 = 66.16   ODDS = 1.00   z_cluster = 0.228