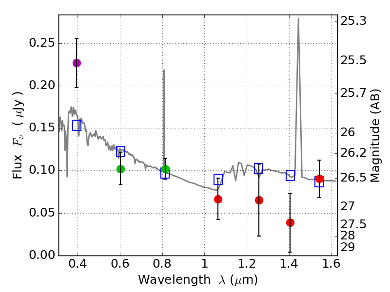
RXS0603+42-N ACS+IR detection object #7462

Color images and BPZ results
Catalog: 7462.cat
Black segments are analyzed here.   Roll mouse over color images to view segments.
Best viewed in a wide browser window (1200 pixels or more).   Download SED & P(z) plots to view larger versions.
In P(z) plots: Yellow lines mark the cluster redshift z = 0.228,  

Object #7462   x,y = (2335, 1390)   RA, Dec = (06:03:15.048, 42:14:40.92) = (90.81270, 42.24470)   BPZ = 1.895 [0.812--2.423]   type = 11.00 (SB11_A_0_l)   stellarity = 0.50   chisq2 = 2.66   ODDS = 0.33   z_cluster = 0.228