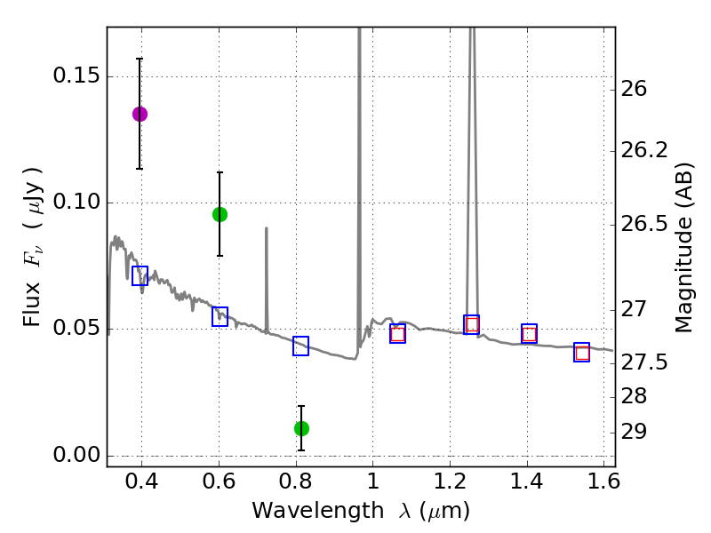
RXS0603+42-N ACS+IR detection object #7316

Color images and BPZ results
Catalog: 7316.cat
Black segments are analyzed here.   Roll mouse over color images to view segments.
Best viewed in a wide browser window (1200 pixels or more).   Download SED & P(z) plots to view larger versions.
In P(z) plots: Yellow lines mark the cluster redshift z = 0.228,  

Object #7316   x,y = (4148, 1664)   RA, Dec = (06:03:05.232, 42:14:57.48) = (90.77180, 42.24930)   BPZ = 1.595 [1.284--2.302]   type = 11.00 (SB11_A_0_l)   stellarity = 0.08   chisq2 = 24.08   ODDS = 0.31   z_cluster = 0.228