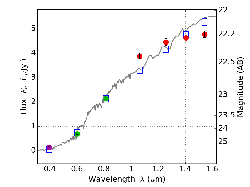
RXS0603+42-N ACS+IR detection object #7279

Color images and BPZ results
Catalog: 7279.cat
Black segments are analyzed here.   Roll mouse over color images to view segments.
Best viewed in a wide browser window (1200 pixels or more).   Download SED & P(z) plots to view larger versions.
In P(z) plots: Yellow lines mark the cluster redshift z = 0.228,  

Object #7279   x,y = (3666, 1460)   RA, Dec = (06:03:07.848, 42:14:45.24) = (90.78270, 42.24590)   BPZ = 0.512 [0.387--0.549]   type = 4.00 (Ell4_A_0)   stellarity = 0.98   chisq2 = 1.26   ODDS = 0.88   z_cluster = 0.228