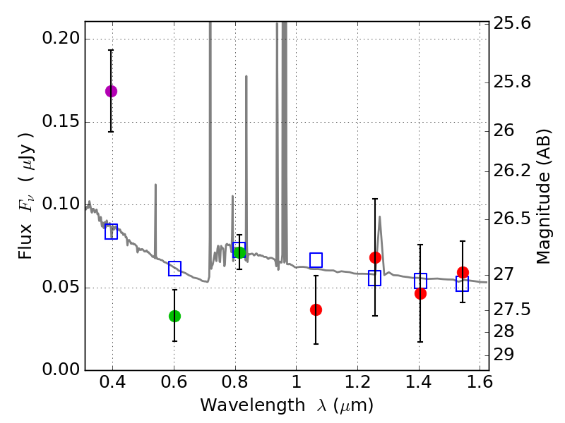
RXS0603+42-N ACS+IR detection object #7099

Color images and BPZ results
Catalog: 7099.cat
Black segments are analyzed here.   Roll mouse over color images to view segments.
Best viewed in a wide browser window (1200 pixels or more).   Download SED & P(z) plots to view larger versions.
In P(z) plots: Yellow lines mark the cluster redshift z = 0.228,  

Object #7099   x,y = (2269, 1528)   RA, Dec = (06:03:15.408, 42:14:49.20) = (90.81420, 42.24700)   BPZ = 0.928 [0.619--2.364]   type = 11.00 (SB11_A_0_l)   stellarity = 0.41   chisq2 = 4.13   ODDS = 0.16   z_cluster = 0.228