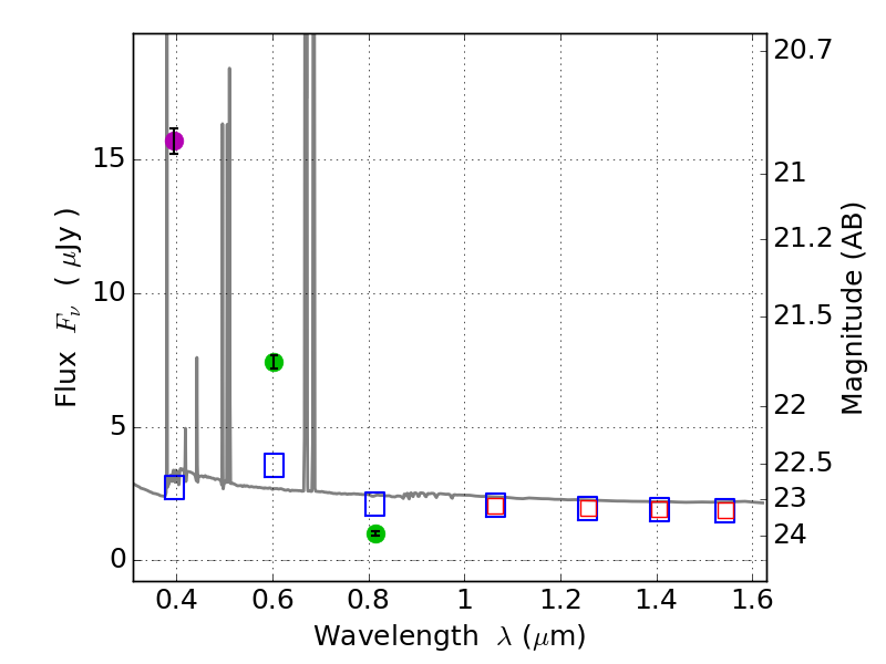
RXS0603+42-N ACS+IR detection object #6267

Color images and BPZ results
Catalog: 6267.cat
Black segments are analyzed here.   Roll mouse over color images to view segments.
Best viewed in a wide browser window (1200 pixels or more).   Download SED & P(z) plots to view larger versions.
In P(z) plots: Yellow lines mark the cluster redshift z = 0.228,  

Object #6267   x,y = (4017, 1825)   RA, Dec = (06:03:05.952, 42:15:07.20) = (90.77480, 42.25200)   BPZ = 0.016 [0.010--0.031]   type = 11.00 (SB11_A_0_l)   stellarity = 0.00   chisq2 = 759.90   ODDS = 1.00   z_cluster = 0.228