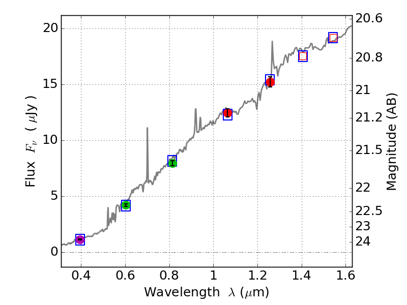
RXS0603+42-N ACS+IR detection object #5801

Color images and BPZ results
Catalog: 5801.cat
Black segments are analyzed here.   Roll mouse over color images to view segments.
Best viewed in a wide browser window (1200 pixels or more).   Download SED & P(z) plots to view larger versions.
In P(z) plots: Yellow lines mark the cluster redshift z = 0.228,  

Object #5801   x,y = (1643, 1991)   RA, Dec = (06:03:18.768, 42:15:17.28) = (90.82820, 42.25480)   BPZ = 0.404 [0.287--0.487]   type = 6.40 (Sbc_B10 - Scd_B10)   stellarity = 0.03   chisq2 = 0.03   ODDS = 0.79   z_cluster = 0.228