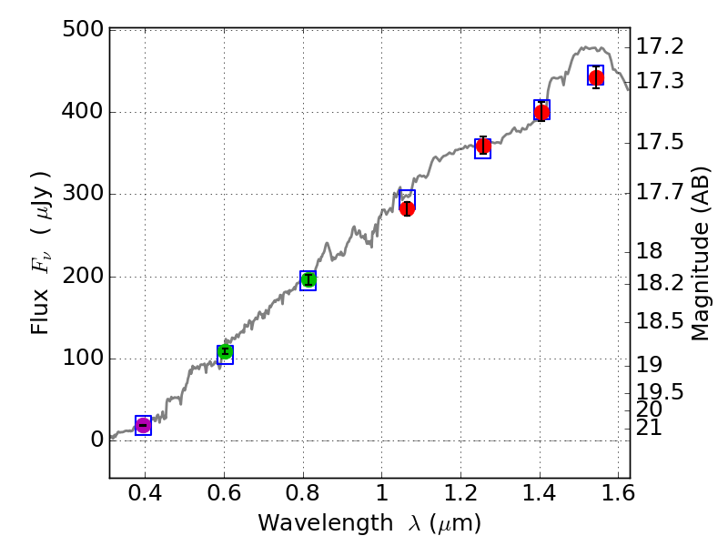
RXS0603+42-N ACS+IR detection object #4733

Color images and BPZ results
Catalog: 4733.cat
Black segments are analyzed here.   Roll mouse over color images to view segments.
Best viewed in a wide browser window (1200 pixels or more).   Download SED & P(z) plots to view larger versions.
In P(z) plots: Yellow lines mark the cluster redshift z = 0.228,  

Object #4733   x,y = (2490, 2283)   RA, Dec = (06:03:14.208, 42:15:34.56) = (90.80920, 42.25960)   BPZ = 0.142 [0.101--0.204]   type = 5.20 (ES0_B10 - Sbc_B10)   stellarity = 0.03   chisq2 = 0.05   ODDS = 0.92   z_cluster = 0.228