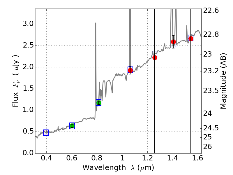
RXS0603+42-N IR detection object #975

Color images and BPZ results
Catalog: 975.cat
Black segments are analyzed here.   Roll mouse over color images to view segments.
Best viewed in a wide browser window (1200 pixels or more).   Download SED & P(z) plots to view larger versions.
In P(z) plots: Yellow lines mark the cluster redshift z = 0.228,  

Object #975   x,y = (1837, 1010)   RA, Dec = (06:03:17.736, 42:14:18.24) = (90.82390, 42.23840)   BPZ = 1.117 [0.185--1.207]   type = 8.10 (SB1_B10 - SB2_B10)   stellarity = 0.97   chisq2 = 0.02   ODDS = 0.44   z_cluster = 0.228