RXS0603+42-N IR detection object #912

Color images and BPZ results
Catalog: 912.cat
Black segments are analyzed here.   Roll mouse over color images to view segments.
Best viewed in a wide browser window (1200 pixels or more).   Download SED & P(z) plots to view larger versions.
In P(z) plots: Yellow lines mark the cluster redshift z = 0.228,  

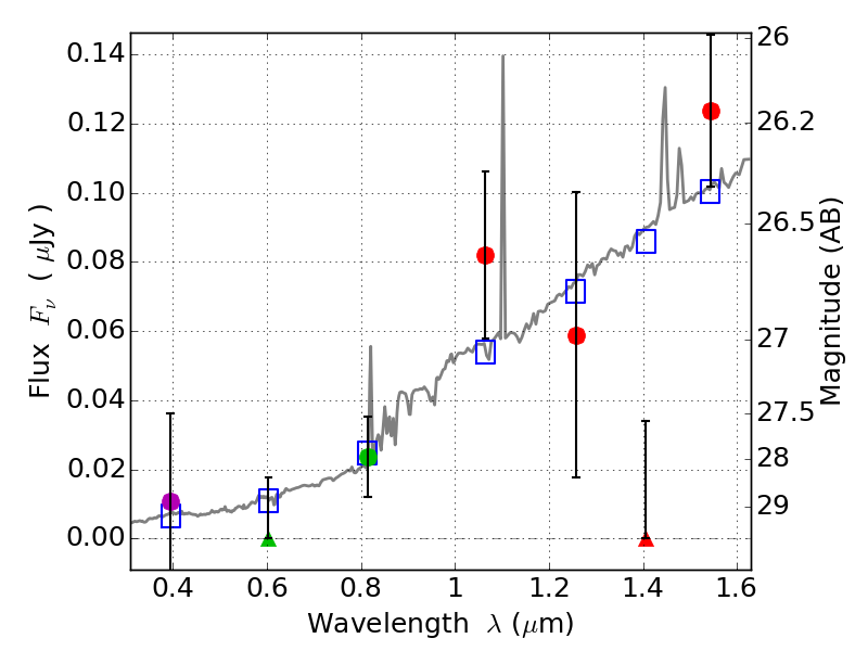
Object #912   x,y = (2036, 1224)   RA, Dec = (06:03:16.656, 42:14:31.20) = (90.81940, 42.24200)   BPZ = 1.199 [0.482--6.213]   type = 6.70 (Scd_B10 - Sbc_B10)   stellarity = 0.00   chisq2 = 2.22   ODDS = 0.14   z_cluster = 0.228