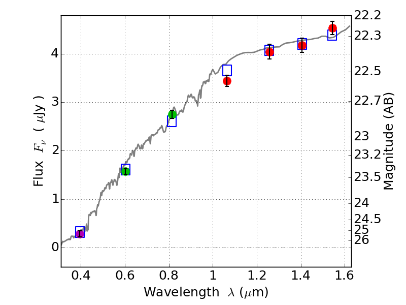
RXS0603+42-N IR detection object #831

Color images and BPZ results
Catalog: 831.cat
Black segments are analyzed here.   Roll mouse over color images to view segments.
Best viewed in a wide browser window (1200 pixels or more).   Download SED & P(z) plots to view larger versions.
In P(z) plots: Yellow lines mark the cluster redshift z = 0.228,  

Object #831   x,y = (3307, 1388)   RA, Dec = (06:03:09.792, 42:14:40.92) = (90.79080, 42.24470)   BPZ = 0.088 [0.034--0.241]   type = 4.00 (Ell4_A_0)   stellarity = 0.03   chisq2 = 0.24   ODDS = 0.84   z_cluster = 0.228