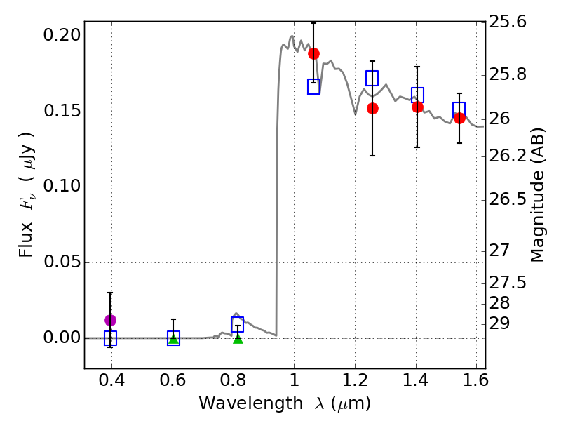
RXS0603+42-N IR detection object #520

Color images and BPZ results
Catalog: 520.cat
Black segments are analyzed here.   Roll mouse over color images to view segments.
Best viewed in a wide browser window (1200 pixels or more).   Download SED & P(z) plots to view larger versions.
In P(z) plots: Yellow lines mark the cluster redshift z = 0.228,  

Object #520   x,y = (3638, 2054)   RA, Dec = (06:03:07.992, 42:15:20.88) = (90.78330, 42.25580)   BPZ = 6.747 [6.469--7.085]   type = 11.00 (SB11_A_0_l)   stellarity = 0.47   chisq2 = 0.55   ODDS = 0.95   z_cluster = 0.228