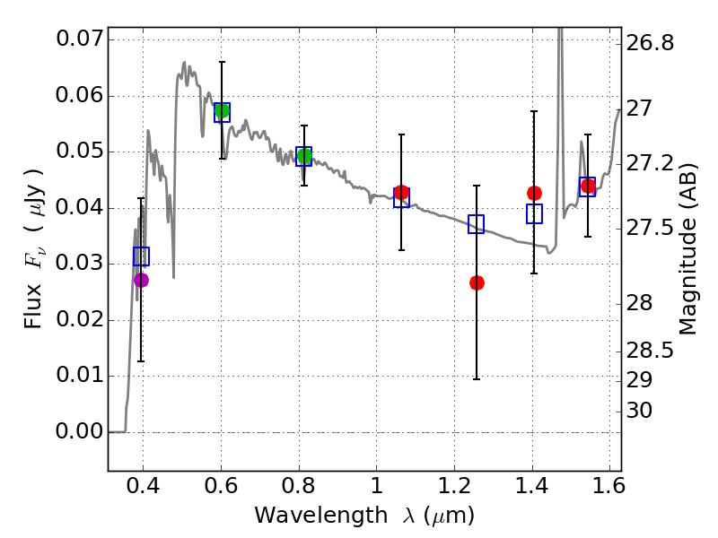
RXS0603+42-N IR detection object #333

Color images and BPZ results
Catalog: 333.cat
Black segments are analyzed here.   Roll mouse over color images to view segments.
Best viewed in a wide browser window (1200 pixels or more).   Download SED & P(z) plots to view larger versions.
In P(z) plots: Yellow lines mark the cluster redshift z = 0.228,  

Object #333   x,y = (2240, 2405)   RA, Dec = (06:03:15.552, 42:15:42.12) = (90.81480, 42.26170)   BPZ = 2.947 [0.221--3.555]   type = 10.60 (SB11_A_0_l - SB3_B10)   stellarity = 0.67   chisq2 = 0.12   ODDS = 0.36   z_cluster = 0.228