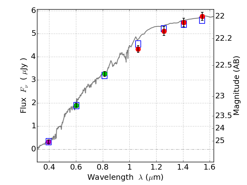
RXS0603+42-N IR detection object #260

Color images and BPZ results
Catalog: 260.cat
Black segments are analyzed here.   Roll mouse over color images to view segments.
Best viewed in a wide browser window (1200 pixels or more).   Download SED & P(z) plots to view larger versions.
In P(z) plots: Yellow lines mark the cluster redshift z = 0.228,  

Object #260   x,y = (2154, 2588)   RA, Dec = (06:03:16.008, 42:15:52.92) = (90.81670, 42.26470)   BPZ = 0.142 [0.060--0.205]   type = 4.00 (Ell4_A_0)   stellarity = 0.03   chisq2 = 0.15   ODDS = 0.79   z_cluster = 0.228