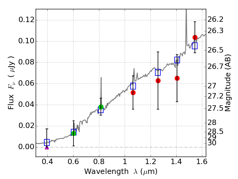
RXS0603+42-N IR detection object #230

Color images and BPZ results
Catalog: 230.cat
Black segments are analyzed here.   Roll mouse over color images to view segments.
Best viewed in a wide browser window (1200 pixels or more).   Download SED & P(z) plots to view larger versions.
In P(z) plots: Yellow lines mark the cluster redshift z = 0.228,  

Object #230   x,y = (3461, 2657)   RA, Dec = (06:03:08.952, 42:15:57.24) = (90.78730, 42.26590)   BPZ = 0.628 [0.320--4.628]   type = 6.40 (Sbc_B10 - Scd_B10)   stellarity = 0.00   chisq2 = 0.29   ODDS = 0.11   z_cluster = 0.228