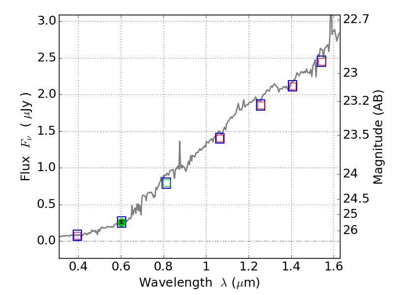
RXS0603+42-N IR detection object #9118

Color images and BPZ results
Catalog: 9118.cat
Black segments are analyzed here.   Roll mouse over color images to view segments.
Best viewed in a wide browser window (1200 pixels or more).   Download SED & P(z) plots to view larger versions.
In P(z) plots: Yellow lines mark the cluster redshift z = 0.228,  

Object #9118   x,y = (3358, 337)   RA, Dec = (06:03:09.528, 42:13:37.92) = (90.78970, 42.22720)   BPZ = 0.752 [0.190--4.631]   type = 6.10 (Sbc_B10 - Scd_B10)   stellarity = 0.95   chisq2 = 990.00   ODDS = 0.08   z_cluster = 0.228