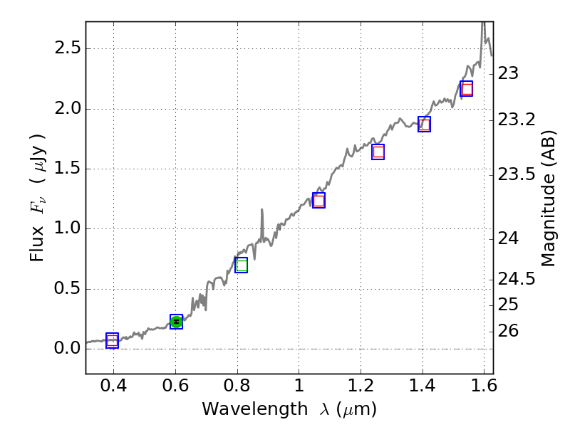
RXS0603+42-N IR detection object #9092

Color images and BPZ results
Catalog: 9092.cat
Black segments are analyzed here.   Roll mouse over color images to view segments.
Best viewed in a wide browser window (1200 pixels or more).   Download SED & P(z) plots to view larger versions.
In P(z) plots: Yellow lines mark the cluster redshift z = 0.228,  

Object #9092   x,y = (3211, 364)   RA, Dec = (06:03:10.296, 42:13:39.36) = (90.79290, 42.22760)   BPZ = 0.759 [0.193--4.716]   type = 6.10 (Sbc_B10 - Scd_B10)   stellarity = 1.00   chisq2 = 990.00   ODDS = 0.08   z_cluster = 0.228