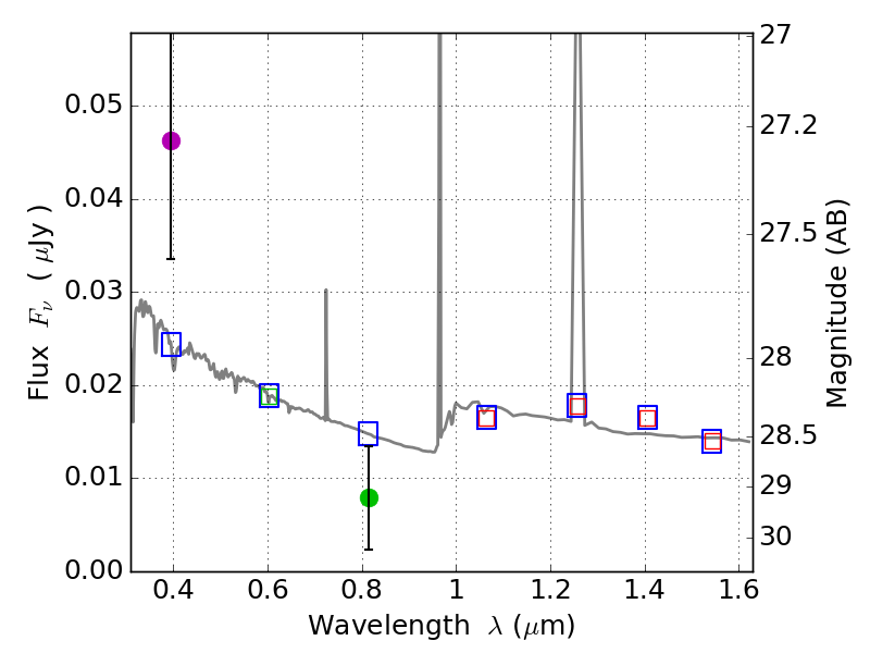
RXS0603+42-N IR detection object #903

Color images and BPZ results
Catalog: 903.cat
Black segments are analyzed here.   Roll mouse over color images to view segments.
Best viewed in a wide browser window (1200 pixels or more).   Download SED & P(z) plots to view larger versions.
In P(z) plots: Yellow lines mark the cluster redshift z = 0.228,  

Object #903   x,y = (3372, 3364)   RA, Dec = (06:03:09.432, 42:16:39.72) = (90.78930, 42.27770)   BPZ = 1.595 [0.404--4.160]   type = 11.00 (SB11_A_0_l)   stellarity = 0.69   chisq2 = 4.32   ODDS = 0.14   z_cluster = 0.228