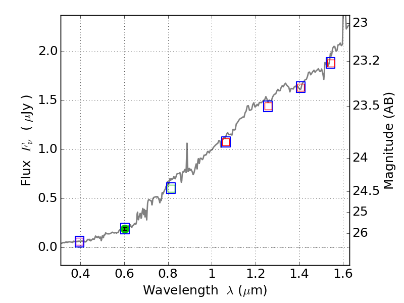
RXS0603+42-N IR detection object #8989

Color images and BPZ results
Catalog: 8989.cat
Black segments are analyzed here.   Roll mouse over color images to view segments.
Best viewed in a wide browser window (1200 pixels or more).   Download SED & P(z) plots to view larger versions.
In P(z) plots: Yellow lines mark the cluster redshift z = 0.228,  

Object #8989   x,y = (3113, 411)   RA, Dec = (06:03:10.848, 42:13:42.24) = (90.79520, 42.22840)   BPZ = 0.774 [0.198--4.886]   type = 6.10 (Sbc_B10 - Scd_B10)   stellarity = 0.68   chisq2 = 990.00   ODDS = 0.08   z_cluster = 0.228