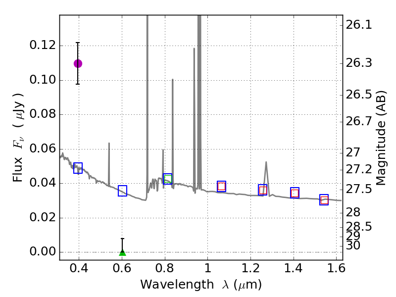
RXS0603+42-N IR detection object #8922

Color images and BPZ results
Catalog: 8922.cat
Black segments are analyzed here.   Roll mouse over color images to view segments.
Best viewed in a wide browser window (1200 pixels or more).   Download SED & P(z) plots to view larger versions.
In P(z) plots: Yellow lines mark the cluster redshift z = 0.228,  

Object #8922   x,y = (3525, 451)   RA, Dec = (06:03:08.616, 42:13:44.76) = (90.78590, 42.22910)   BPZ = 0.931 [0.801--10.564]   type = 11.00 (SB11_A_0_l)   stellarity = 0.64   chisq2 = 41.68   ODDS = 0.19   z_cluster = 0.228