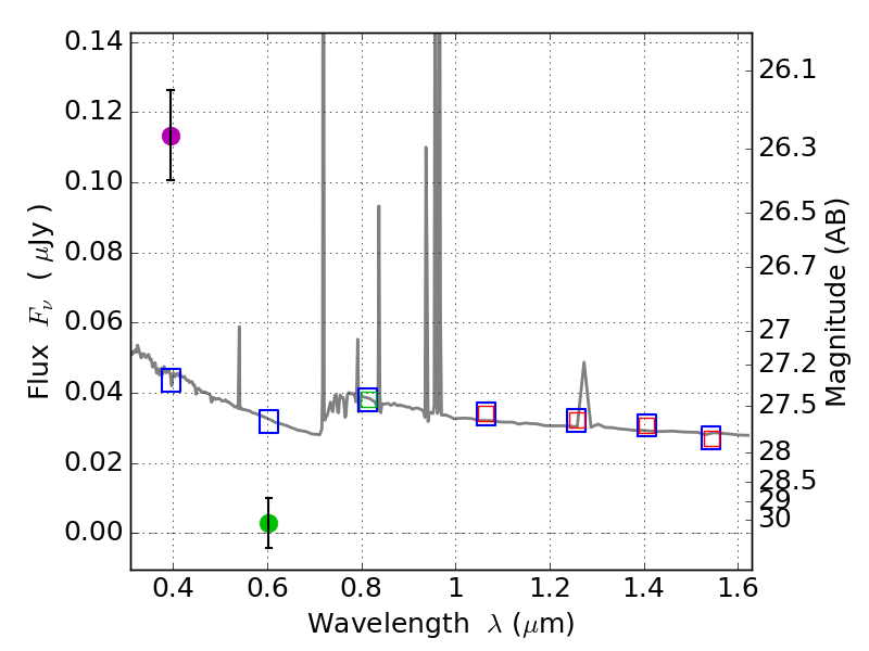
RXS0603+42-N IR detection object #8812

Color images and BPZ results
Catalog: 8812.cat
Black segments are analyzed here.   Roll mouse over color images to view segments.
Best viewed in a wide browser window (1200 pixels or more).   Download SED & P(z) plots to view larger versions.
In P(z) plots: Yellow lines mark the cluster redshift z = 0.228,  

Object #8812   x,y = (3419, 506)   RA, Dec = (06:03:09.192, 42:13:48.00) = (90.78830, 42.23000)   BPZ = 0.931 [0.772--2.212]   type = 11.00 (SB11_A_0_l)   stellarity = 0.41   chisq2 = 42.33   ODDS = 0.18   z_cluster = 0.228