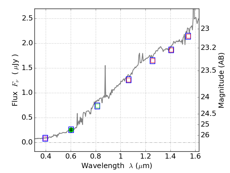
RXS0603+42-N IR detection object #8594

Color images and BPZ results
Catalog: 8594.cat
Black segments are analyzed here.   Roll mouse over color images to view segments.
Best viewed in a wide browser window (1200 pixels or more).   Download SED & P(z) plots to view larger versions.
In P(z) plots: Yellow lines mark the cluster redshift z = 0.228,  

Object #8594   x,y = (2665, 609)   RA, Dec = (06:03:13.248, 42:13:54.12) = (90.80520, 42.23170)   BPZ = 0.752 [0.190--4.631]   type = 6.30 (Sbc_B10 - Scd_B10)   stellarity = 0.69   chisq2 = 990.00   ODDS = 0.08   z_cluster = 0.228