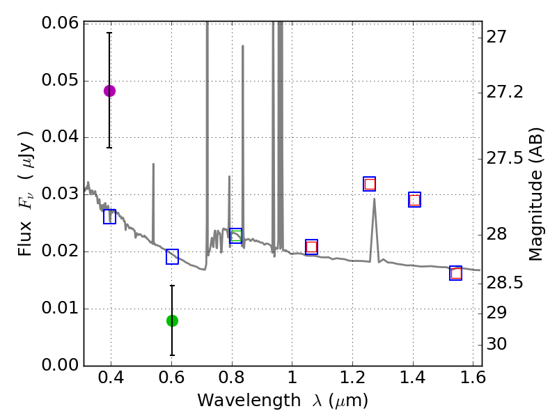
RXS0603+42-N IR detection object #8561

Color images and BPZ results
Catalog: 8561.cat
Black segments are analyzed here.   Roll mouse over color images to view segments.
Best viewed in a wide browser window (1200 pixels or more).   Download SED & P(z) plots to view larger versions.
In P(z) plots: Yellow lines mark the cluster redshift z = 0.228,  

Object #8561   x,y = (3271, 619)   RA, Dec = (06:03:09.984, 42:13:54.84) = (90.79160, 42.23190)   BPZ = 0.934 [0.525--2.481]   type = 11.00 (SB11_A_0_l)   stellarity = 0.39   chisq2 = 7.66   ODDS = 0.11   z_cluster = 0.228