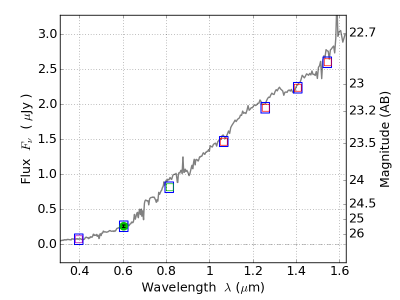
RXS0603+42-N IR detection object #8467

Color images and BPZ results
Catalog: 8467.cat
Black segments are analyzed here.   Roll mouse over color images to view segments.
Best viewed in a wide browser window (1200 pixels or more).   Download SED & P(z) plots to view larger versions.
In P(z) plots: Yellow lines mark the cluster redshift z = 0.228,  

Object #8467   x,y = (2631, 641)   RA, Dec = (06:03:13.440, 42:13:56.28) = (90.80600, 42.23230)   BPZ = 0.752 [0.190--4.631]   type = 6.00 (Sbc_B10)   stellarity = 1.00   chisq2 = 990.00   ODDS = 0.08   z_cluster = 0.228