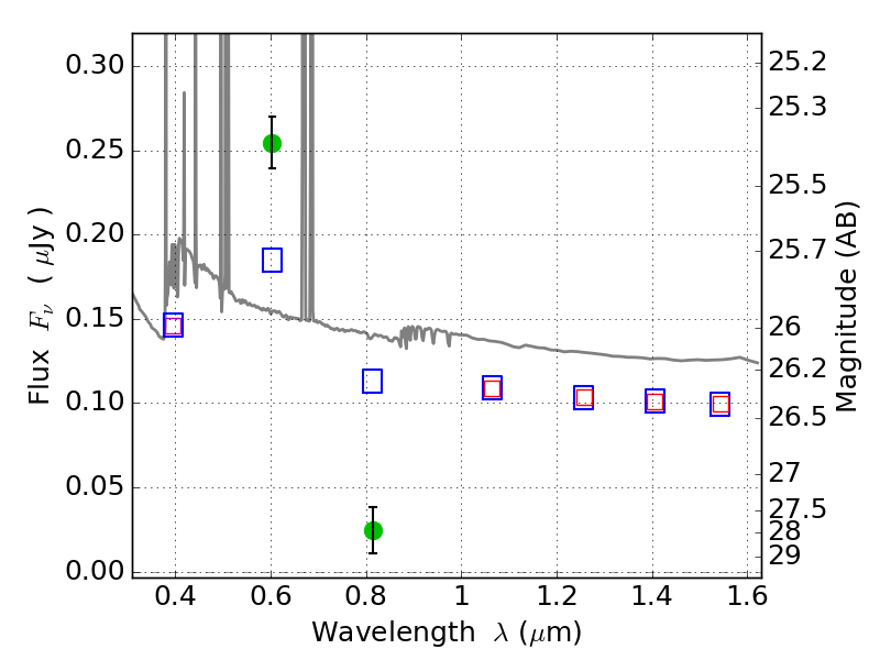
RXS0603+42-N IR detection object #8358

Color images and BPZ results
Catalog: 8358.cat
Black segments are analyzed here.   Roll mouse over color images to view segments.
Best viewed in a wide browser window (1200 pixels or more).   Download SED & P(z) plots to view larger versions.
In P(z) plots: Yellow lines mark the cluster redshift z = 0.228,  

Object #8358   x,y = (2526, 697)   RA, Dec = (06:03:14.016, 42:13:59.52) = (90.80840, 42.23320)   BPZ = 0.020 [0.010--0.044]   type = 11.00 (SB11_A_0_l)   stellarity = 0.99   chisq2 = 35.41   ODDS = 1.00   z_cluster = 0.228