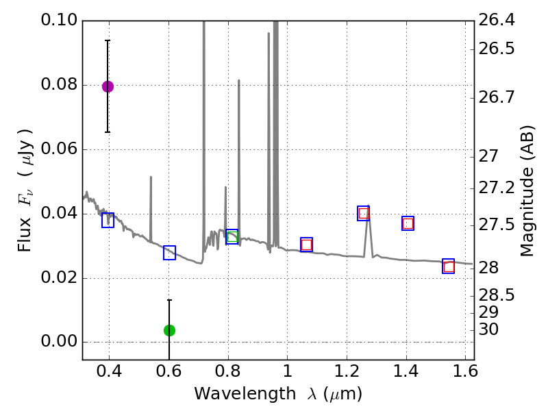
RXS0603+42-N IR detection object #8102

Color images and BPZ results
Catalog: 8102.cat
Black segments are analyzed here.   Roll mouse over color images to view segments.
Best viewed in a wide browser window (1200 pixels or more).   Download SED & P(z) plots to view larger versions.
In P(z) plots: Yellow lines mark the cluster redshift z = 0.228,  

Object #8102   x,y = (3054, 790)   RA, Dec = (06:03:11.160, 42:14:05.28) = (90.79650, 42.23480)   BPZ = 0.933 [0.592--2.416]   type = 11.00 (SB11_A_0_l)   stellarity = 0.05   chisq2 = 14.36   ODDS = 0.11   z_cluster = 0.228