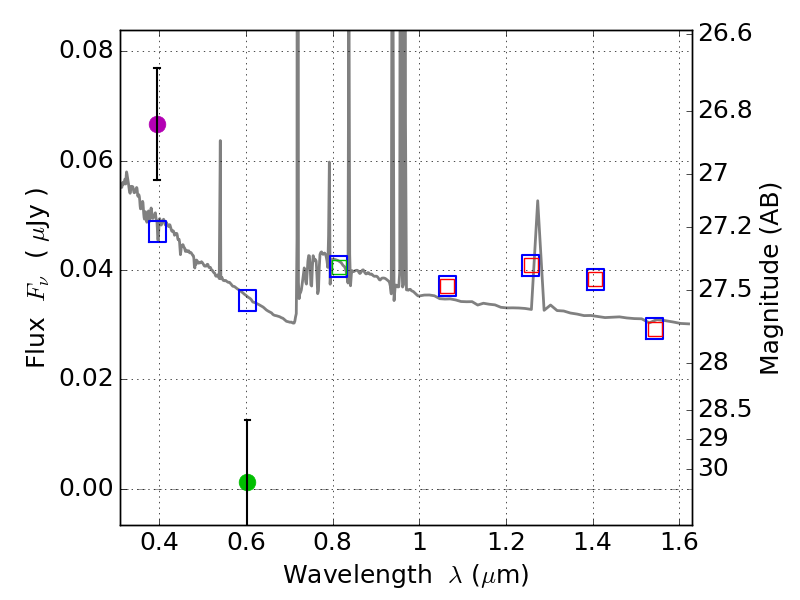
RXS0603+42-N IR detection object #8093

Color images and BPZ results
Catalog: 8093.cat
Black segments are analyzed here.   Roll mouse over color images to view segments.
Best viewed in a wide browser window (1200 pixels or more).   Download SED & P(z) plots to view larger versions.
In P(z) plots: Yellow lines mark the cluster redshift z = 0.228,  

Object #8093   x,y = (3722, 795)   RA, Dec = (06:03:07.536, 42:14:05.28) = (90.78140, 42.23480)   BPZ = 0.932 [0.685--2.277]   type = 11.00 (SB11_A_0_l)   stellarity = 0.38   chisq2 = 11.28   ODDS = 0.13   z_cluster = 0.228