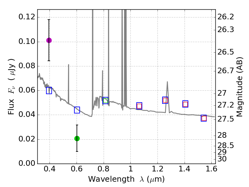
RXS0603+42-N IR detection object #8062

Color images and BPZ results
Catalog: 8062.cat
Black segments are analyzed here.   Roll mouse over color images to view segments.
Best viewed in a wide browser window (1200 pixels or more).   Download SED & P(z) plots to view larger versions.
In P(z) plots: Yellow lines mark the cluster redshift z = 0.228,  

Object #8062   x,y = (3059, 805)   RA, Dec = (06:03:11.136, 42:14:06.00) = (90.79640, 42.23500)   BPZ = 0.932 [0.634--2.288]   type = 11.00 (SB11_A_0_l)   stellarity = 0.36   chisq2 = 9.62   ODDS = 0.13   z_cluster = 0.228