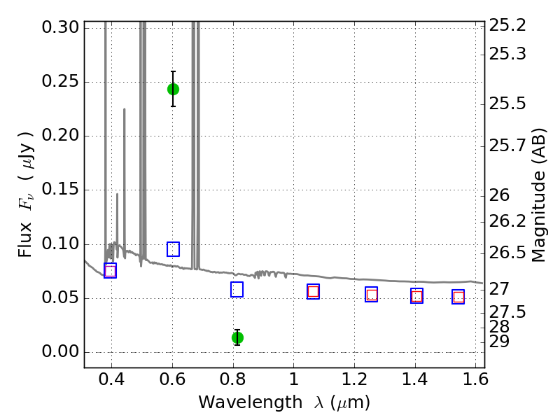
RXS0603+42-N IR detection object #7951

Color images and BPZ results
Catalog: 7951.cat
Black segments are analyzed here.   Roll mouse over color images to view segments.
Best viewed in a wide browser window (1200 pixels or more).   Download SED & P(z) plots to view larger versions.
In P(z) plots: Yellow lines mark the cluster redshift z = 0.228,  

Object #7951   x,y = (2261, 853)   RA, Dec = (06:03:15.432, 42:14:08.88) = (90.81430, 42.23580)   BPZ = 0.020 [0.010--0.044]   type = 11.00 (SB11_A_0_l)   stellarity = 0.87   chisq2 = 95.92   ODDS = 1.00   z_cluster = 0.228