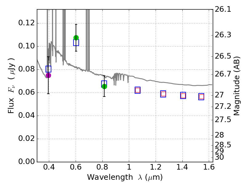
RXS0603+42-N IR detection object #7916

Color images and BPZ results
Catalog: 7916.cat
Black segments are analyzed here.   Roll mouse over color images to view segments.
Best viewed in a wide browser window (1200 pixels or more).   Download SED & P(z) plots to view larger versions.
In P(z) plots: Yellow lines mark the cluster redshift z = 0.228,  

Object #7916   x,y = (2866, 870)   RA, Dec = (06:03:12.168, 42:14:09.96) = (90.80070, 42.23610)   BPZ = 0.040 [0.038--2.910]   type = 11.00 (SB11_A_0_l)   stellarity = 0.49   chisq2 = 0.22   ODDS = 0.05   z_cluster = 0.228