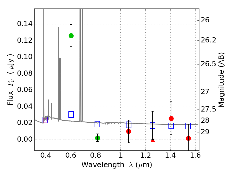
RXS0603+42-N IR detection object #7605

Color images and BPZ results
Catalog: 7605.cat
Black segments are analyzed here.   Roll mouse over color images to view segments.
Best viewed in a wide browser window (1200 pixels or more).   Download SED & P(z) plots to view larger versions.
In P(z) plots: Yellow lines mark the cluster redshift z = 0.228,  

Object #7605   x,y = (1847, 996)   RA, Dec = (06:03:17.688, 42:14:17.52) = (90.82370, 42.23820)   BPZ = 0.029 [0.051--3.527]   type = 11.00 (SB11_A_0_l)   stellarity = 0.71   chisq2 = 20.08   ODDS = 0.03   z_cluster = 0.228