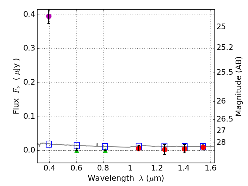
RXS0603+42-N IR detection object #7533

Color images and BPZ results
Catalog: 7533.cat
Black segments are analyzed here.   Roll mouse over color images to view segments.
Best viewed in a wide browser window (1200 pixels or more).   Download SED & P(z) plots to view larger versions.
In P(z) plots: Yellow lines mark the cluster redshift z = 0.228,  

Object #7533   x,y = (2020, 1023)   RA, Dec = (06:03:16.752, 42:14:18.96) = (90.81980, 42.23860)   BPZ = 1.701 [0.843--2.425]   type = 11.00 (SB11_A_0_l)   stellarity = 0.73   chisq2 = 76.33   ODDS = 0.29   z_cluster = 0.228