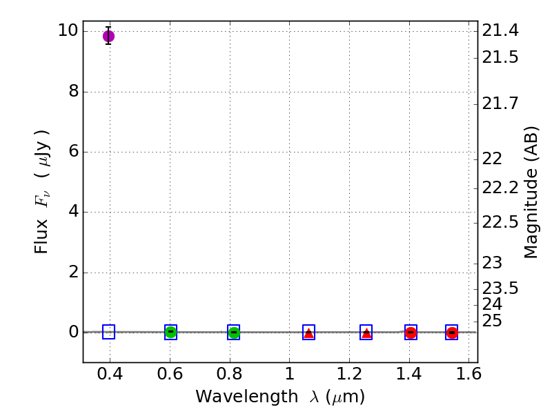
RXS0603+42-N IR detection object #7472

Color images and BPZ results
Catalog: 7472.cat
Black segments are analyzed here.   Roll mouse over color images to view segments.
Best viewed in a wide browser window (1200 pixels or more).   Download SED & P(z) plots to view larger versions.
In P(z) plots: Yellow lines mark the cluster redshift z = 0.228,  

Object #7472   x,y = (1967, 1038)   RA, Dec = (06:03:17.040, 42:14:20.04) = (90.82100, 42.23890)   BPZ = 1.762 [0.245--5.228]   type = 11.00 (SB11_A_0_l)   stellarity = 1.00   chisq2 = 286.60   ODDS = 0.10   z_cluster = 0.228