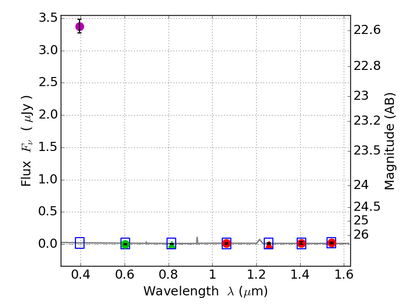
RXS0603+42-N IR detection object #7471

Color images and BPZ results
Catalog: 7471.cat
Black segments are analyzed here.   Roll mouse over color images to view segments.
Best viewed in a wide browser window (1200 pixels or more).   Download SED & P(z) plots to view larger versions.
In P(z) plots: Yellow lines mark the cluster redshift z = 0.228,  

Object #7471   x,y = (1962, 1039)   RA, Dec = (06:03:17.064, 42:14:20.04) = (90.82110, 42.23890)   BPZ = 1.497 [0.581--7.137]   type = 11.00 (SB11_A_0_l)   stellarity = 0.91   chisq2 = 265.90   ODDS = 0.14   z_cluster = 0.228