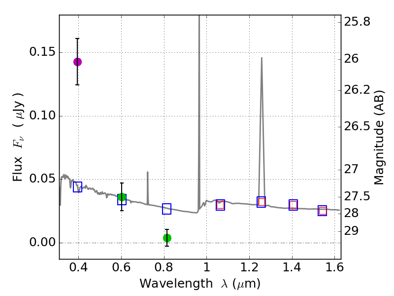
RXS0603+42-N IR detection object #743

Color images and BPZ results
Catalog: 743.cat
Black segments are analyzed here.   Roll mouse over color images to view segments.
Best viewed in a wide browser window (1200 pixels or more).   Download SED & P(z) plots to view larger versions.
In P(z) plots: Yellow lines mark the cluster redshift z = 0.228,  

Object #743   x,y = (2743, 3454)   RA, Dec = (06:03:12.840, 42:16:44.76) = (90.80350, 42.27910)   BPZ = 1.595 [1.210--2.278]   type = 11.00 (SB11_A_0_l)   stellarity = 0.35   chisq2 = 38.07   ODDS = 0.30   z_cluster = 0.228