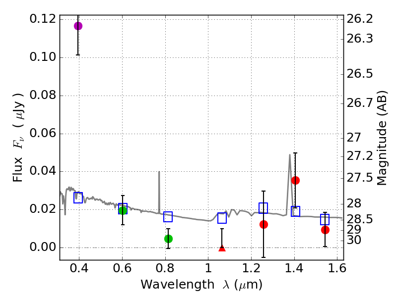
RXS0603+42-N IR detection object #7241

Color images and BPZ results
Catalog: 7241.cat
Black segments are analyzed here.   Roll mouse over color images to view segments.
Best viewed in a wide browser window (1200 pixels or more).   Download SED & P(z) plots to view larger versions.
In P(z) plots: Yellow lines mark the cluster redshift z = 0.228,  

Object #7241   x,y = (2877, 1134)   RA, Dec = (06:03:12.120, 42:14:25.80) = (90.80050, 42.24050)   BPZ = 1.758 [0.971--2.490]   type = 11.00 (SB11_A_0_l)   stellarity = 0.48   chisq2 = 10.53   ODDS = 0.30   z_cluster = 0.228